成果速递

导读
近日,华东师范大学刘敏教授团队在城市可持续发展研究领域取得重要突破,相关成果以“Toward urban sustainability: assessing SDG11.2 via functional zone analysis in five Chinese cities”为题,发表于Nature旗下期刊《npj Urban Sustainability》。研究得到国家自然科学基金-可持续发展国际合作科学计划(SDIC)-重点项目和可持续发展大数据国际研究中心CBAS-华东师范大学节点培育项目支持。该研究针对当前可持续发展目标(SDG)评估中普遍存在的“粒度较粗”,难以刻画城市内部复杂性与异质性的难题,创新性地提出了一套基于城市功能区(Urban Functional Zones,UFZs)的精细化评估框架。
可持续发展目标11(SDG11:可持续城市和社区)对城市发展提出了更高要求。为突破传统评估方法的局限,团队自主研发了深度学习模型E-UFZ,融合超高分辨率(Very High Resolution,VHR)遥感卫星影像与多源地理空间数据,成功为上海、杭州、南京、苏州、合肥五座长三角城市(主要城区)绘制出SDG 11.2指标(即可便捷使用公共交通的人口占比)的城市功能区级精准“画像”(图1)。研究显示,交通服务的空间不均衡性在城市内部被显著放大,尤其在部分城中村区域,公共交通服务人口远低于邻近的商业或行政中心区。这一发现将可持续发展目标与城市内部的现实差异联系起来,可为城市制定更精准、公平的交通优化策略提供科学依据。

图1. 城市功能区尺度SDG11.2评估方案
方法与结果
1.构建了高精度城市功能区分类提取框架“E-UFZ”
城市功能区(UFZ)是城市空间结构的功能性表述,适用于小尺度城市研究。本文根据土地利用的属性,将功能区划分为普通居住区、城中村、别墅区、商业区、工业区、机构区、开放空间和农田等类型。为解决传统方法难以精细识别城市内部功能的问题,研究团队自主研发了UFZ分类提取“E-UFZ”深度学习框架(图2)。该框架模拟人类专家解译遥感影像进行的认知过程,在分类效率与精度方面均实现显著提升。首先,基于多尺度分割算法将遥感影像初步划分为若干具有相似光谱与纹理特征的“超级像素”单元作为候选地块;其次,引入融合了注意力机制(Convolutional Block Attention Module,CBAM)的DeepLabv3+深度语义分割网络,通过通道注意力与空间注意力的协同作用对候选地块进行特征提取;进一步综合邻域拓扑关系与路网矢量约束信息,构建马尔可夫随机场优化模型,对分类结果进行空间一致性约束与后处理修正,实现地块级精准合并与边界优化。最终生成的UFZ空间分布图与实际用地结构高度吻合(图3)。研究同时对比验证了E-UFZ框架在城市精细功能识别中的有效性与鲁棒性。

图2. 用于特征提取的CBAM-Deeplab结构图

图3. 五个城市UFZ空间分布图和各类功能区统计结果
2.揭示了城市内部公共交通服务的空间不均衡性
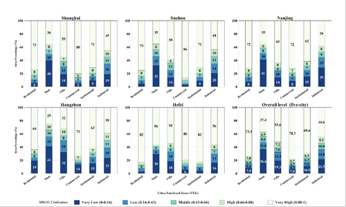
基于E-UFZ生成的功能区图,团队融合人口网格、路网及公共交通站点数据,在UFZ层面对五个城市的SDG11.2指标进行量化评估。研究揭示了一个被宏观数据掩盖的“中心-边缘”梯度格局(图4、5):城市核心区因交通网络密集,SDG11.2值普遍处于“高”或“非常高”水平;而近郊和远郊地区则多落入“低”或“非常低”区间。居住区、机构区和商业区的交通可达性普遍高于其他功能区。值得注意的是,当城市平均数据看似达标时,在“城中村”等群体聚集的区域,公共交通服务“非常低”的等级反而占据主导。这表明,宏观“平均”可能掩盖了城市边缘和特定功能区居民的出行困境。

图4. 五个城市SDG11.2值空间分布图

图5. 五个城市六类UFZ中SDG11.2指标面积占比的分布
从全球视角看,本研究突破了传统城市可持续发展评估的固有范式。以往的城市SDG评估多停留在宏观统计层面,将城市视为均质整体,导致政策干预难以精准触达真正需要改善的区域。本研究通过E-UFZ框架,实现了城市内部功能区的精细化识别与SDG11.2指标的街区级评估,揭示了当城市尺度的公共交通覆盖率数据看似达标时,城市内部实则呈现两极分化——这一现象恰恰是城市可持续发展中最需要关注却最容易被忽视的问题。该研究将城市可持续发展评估从“城市平均”的模糊叙事,推进至“功能区公平”的精准诊断,不仅为SDG11.2评估提供了新的方法论范式,其框架更有望推广至其他城市功能相关指标的评估中,为全球可持续城市建设贡献了中国智慧。
第一作者简介

袁丽娜,华东师范大学空间人工智能学院助理研究员。研究方向为资源环境遥感与区域可持续发展,已发表地球科学领域SCI论文30余篇。硕博分别毕业于墨尔本大学和中国矿业大学,2021年至2024年在华东师范大学地理科学学院完成博士后研究。目前主要从事遥感智能应用技术探索,重点关注城市可持续发展与气候变化应对等。
通讯作者简介

刘敏,华东师范大学地理科学学院教授、博士生导师,地理信息科学教育部重点实验室主任,中国地理学会环境地理专委会主任,中国环境学会沉积物环境专委会主任,国际城市气候变化网络亚洲中心主任(UCCRN),科技部重点研发计划项目首席科学家,国务院学科评议专家组成员。主要从事自然地理学与环境地理学及环境地理大数据研究工作。已在Science Advances、Nature Communications、科学通报、地理学报等国内外学术期刊发表学术论文300余篇,获省部级科技进步一等奖及教育部自然科学二等奖等奖项。
研究团队诚邀对GeoAI技术解决地学问题感兴趣的同学/学者加入
联系邮箱:mliu@geo.ecnu.edu.cn; Lnyuan@geoai.ecnu.edu.cn。

